Nell’Unione Europea il prodotto interno lordo pro capite è cresciuto significativamente nell’ultimo ventennio. Tutto bene quindi o questo processo di crescita nasconde alcune criticità? Nel seguito viene analizzata la dinamica dei divari territoriali in Europa in questo periodo e si cerca di comprendere se esista una qualche evidenza empirica che confermi l’esistenza di un pattern di convergenza / divergenza dello sviluppo economico europeo.
Per calcolare l’indicatore in questione abbiamo utilizzato la serie storica del prodotto interno lordo a prezzi costanti 2015 e quella della popolazione per il periodo 2000-2019. I dati fanno riferimento alle unità territoriali che l’Unione Europea definisce come NUTS 3, vale a dire aree che in origine avevano piccola dimensione e popolazione compresa tra 150.000 e 800.000 abitanti (in realtà, la definizione di NUTS 3 è cambiata molte volte dal momento della loro istituzione – nel 2003 – ad oggi). Non sono state considerate alcune aree per le quali i dati non erano disponibili e gli indici di posizione sono stati quindi calcolati senza tenere conto di questi territori: la differenza con il dato “reale” non dovrebbe comunque essere particolarmente significativa.
Come si può notare dall’esame del grafico che segue, negli ultimi vent’anni la dinamica del prodotto interno lordo pro capite è risultata largamente positiva a livello europeo. In media questo indicatore è cresciuto del 25.79% tra il 2000 e il 2019, mentre il tasso di crescita della mediana è stato solo leggermente inferiore, vale a dire pari al 17.86%. Benché i tassi di crescita europei siano inferiori a quelli di molti altri paesi, si tratta tuttavia di una performance significativa.

I dati di cui disponiamo consentono inoltre di mettere in luce i territori in cui il prodotto interno lordo è maggiore e quelli dove invece tale indicatore assume valori meno elevati. In particolare è stata effettuata una partizione per quartili che consente di evidenziare come i territori più poveri siano sostanzialmente localizzati nei paesi dell’Europa orientale già sotto l’influenza politica dell’Unione Sovietica e nei paesi meditteranei (segnatamente la Grecia e i territori meridionali di Italia e Spagna).
D’altra parte i paesi più ricchi sono i paesi nordici e vaste aree del Regno Unito (cfr. Greater London e Scozia) e dell’Irlanda, mentre – a livello continentale – è la dorsale che va dall’Austria alla Baviera e ai paesi del Benelux a registrare i più elevati valori del prodotto interno lordo pro capite.
Per l’Italia, si conferma quanto già noto da decenni ovvero la coesistenza di aree con livelli di reddito pro capite non dissimili dai livelli dei paesi più avanzati (particolarmente nel Nord e nel Centro Italia) e di aree molto arretrate (i territori del Mezzogiorno).

Detto delle differenze, la cosa che può essere di un qualche interesse è cercare di comprendere se tali divari tendono ad aumentare o a diminuire nel tempo. Questa evidenza può essere condotta molto semplicemente attraverso l’analisi dell’andamento dei tassi di variazione percentuale del prodotto interno lordo pro capite nelle aree NUTS 3.
Tra i territori con un basso prodotto interno lordo pro capite quelli dell’Europa orientale crescono vigorosamente negli ultimi vent’anni, ma lo stesso non può dirsi per le maggior parte delle regioni mediterranee: in Grecia ed in Italia i tassi di crescita sono inferiori alla media europea, se non negativi; una parziale eccezione è costituita da alcune province della Spagna meridionale.
Per quanto riguarda invece le regioni più sviluppate, crescono più della media europea i paesi mitteleuropei (Austria, Germania e Benelux), mentre presentano tassi di crescita negativi o inferiori alla media europea le regioni italiane, francesi e anglosassoni, con la parziale eccezione dell’Irlanda meridionale.

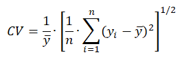
Questa analisi consente di farci un’idea piuttosto generale di come i divari territoriali variano nel tempo, ma non fornisce una misura sintetica di divario. A questo fine occorrerà quindi utilizzare alcuni strumenti ad hoc, tra i quali si è scelto di utilizzarne alcuni noti per la loro semplicità ed immediatezza: il coefficiente di variazione (CV) e l’indice di Williamson (WI).
Il coefficiente di variazione misura la distanza del prodotto interno lordo pro capite di ogni territorio dal valore medio sovralocale ed è definibile nei seguenti termini

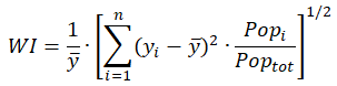
in cui yi è il valore della variabile osservata a livello locale, y̅ è il valore medio della variabile a livello sovralocale e n è il numero delle osservazioni effettuate. Il coefficiente di variazione considera tutti i territori come se avessero le stesse dimensioni, mentre potrebbe essere utile “pesare” opportunamente il contributo dei diversi sistemi locali, ad esempio attraverso la popolazione residente. L’indice di Williamson (1) si propone di utilizzare questo sistema di attribuzione di pesi per valutare i divari regionali:

in cui, come in precedenza, yi è il valore della variabile osservata a livello locale ed y̅ è il valore medio della variabile a livello sovralocale, mentre Popi e Poptot sono le popolazioni della regione i-esima e la popolazione totale. In realtà l’indice di Williamson ha ricevuto alcune critiche relative al fatto che questo indicatore misurerebbe l’ineguaglianza tra gli individui ‘rappresentativi’ (dato che il reddito regionale medio è pesato per la popolazione residente) piuttosto che tra regioni (2): le dinamiche dei due indicatori potrebbero – secondo questa critica – anche differire significativamente, ma si è scelto di presentarlo egualmente per fornire un quadro un po’ più ampio degli indici di divario esistenti..

Ebbene, come si vede all’analisi grafica appena presentata il divario territoriale è fortemente cresciuto negli ultimi vent’anni, tendendo quindi a confermare l’ipotesi che le misure di politica economica attuate dai paesi europei e dalle stesse istituzioni europee non abbiano favorito la convergenza tra aree “centrali” ed aree “periferiche”. I processi in atto sembrerebbero anzi aver favorito un processo di divergenza, le cui cause andrebbero approfondite e la cui dinamica andrebbe in qualche modo contrastata.
NOTE
(1) Cfr. Jeffrey G. Williamson, Regional inequality and the process of national development: a description of patterns, Economic Development and Cultural Change, vol. 13, n. 4, 1965.
(2) Si veda, ad esempio, Konstantin Glushenko, ‘Williamson’s Fallacy’ in Estimation of Inter-Regional Inequality, MPRA Paper, n. 68019, University Library of Munich, 2015.
Questo contributo è rilasciato con licenza Creative Commons. Puoi quindi condividerlo (riprodurre, distribuire, comunicare al pubblico, esporre in pubblico, rappresentare, eseguire e recitare questo materiale con qualsiasi mezzo e formato) e/o modificarlo (remixare, trasformare il materiale e basarti su di esso per le tue opere) per qualsiasi fine, anche commerciale. Se lo ritieni puoi citarlo come Cesare Benzi, la dinamica dei divari territoriali misurata in termini di pil pro capite, interazioni.blog, 5 maggio 2020.